Cube Root 243. Is 243 a perfect cube?#rvedutube #cubeandcuberoo. I tried 8, then 27.

Liveatvoxpop Cubed Root Of 243
Liveatvoxpop Cubed Root Of 243 from liveatvoxpop.blogspot.com

Factor 27 27 out of 243 243. 3√33 ⋅9 3 3 ⋅ 9 3. Rewrite 243 243 as 33 ⋅9 3 3 ⋅ 9.

∵ 768 Ends In 8.


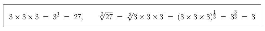
For example, the cube root of 27, denoted as 3 √27, is 3, because when we multiply 3 by itself three times we get 3 x 3 x 3 = 27 = 3 3. Example 1) find the cube root of 1728. When we calculate the cube root of 243, the answer is the number that you can multiply by itself twice that will equal 243.

Does The Calculator Support Fractions?


Cube root math is fun cube roots cite this content, page or calculator as: Here, 343 is the cube of 7, and 7 is the cube root of 343. Finally, the cube root of the given number will be displayed in the output field

= 3 3 X 3 X 3.


∵ 243 = 3 x 3 x 3 x 3 x 3. What is the fifth root of 729? Cube root of 729cm3 is 9.

Also It's The Only Prime Which Is Followed By Another Prime Number Three.


Cube root ∛242 cannot be reduced, because it already is in its simplest form. Is 243 a perfect cube?#rvedutube #cubeandcuberoo. The equation to solve the problem is therefore:

Now Click The Button “Solve” To Get The Cube Root Value Step 3:


This website uses cookies to ensure you get the best experience. = (3 x 3 x 3) x 3 x 3. In mathematical form we can show the square root of 243 using the radical sign, like this:

Related Posts